Перейти до головного вмісту
ДН ІФНТУНГ
  • Головна сторінка
  • Календар
  • ІФНТУНГ
  • Розклад
  • Особистий кабінет студента
  • Особистий кабінет працівника ВНЗ
  • Cайт Центру дистанційного навчання
  • Оперативна взаємодія з ЦДН
  • Інструкція для входу на навчальну платформу ЦДН
  • Більше
Українська ‎(uk)‎
Українська ‎(uk)‎ English ‎(en)‎
Наразі ви використовуєте гостьовий доступ
Увійти
ДН ІФНТУНГ
Головна сторінка Календар ІФНТУНГ Розклад Особистий кабінет студента Особистий кабінет працівника ВНЗ Cайт Центру дистанційного навчання Оперативна взаємодія з ЦДН Інструкція для входу на навчальну платформу ЦДН
Розгорнути всі Згорнути все
  1. Особистий кабінет
  2. ВСТВ
  3. Матеріали до лабораторних робіт
  4. Лабораторна робота 2. Дослідження рівня точності виготовлення деталей. Завдання до лаб. роботи

Лабораторна робота 2. Дослідження рівня точності виготовлення деталей. Завдання до лаб. роботи

Умови завершення
Початок приймання: понеділок 20 січня 2025 00:00 AM
Термін спливає: понеділок 27 січня 2025 00:00 AM

Ознайомитись з працею [11] с. 18-25; [1] c. 23-29.

Студенти ознайомлюються з методикою оцінки точності виготовлення деталей типу валу шляхом статистичної обробки результатів вимірювання, а також визначають рівень точності (квалітет, по ДСТУ 2500-94 (ГОСТ 25346-89)).

1. Для виконання роботи вся група одержує одне завдання у вигляді таблиці звіту, в якій проставлено абсолютні частоти появи деталей з розмірами в межах кожного інтервалу: n1, n2,…nк,.

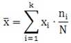
2. Визначаємо випадкові величини розмірів хі, які дорівнюють середньому арифметичному діаметру кожного інтервалу k, наприклад, .

3. Визначаємо відносні частоти появи xi: n1/N, n2/N, … nk/N, наприклад, 2/100=0,02. Заповняємо табл.2.1 звіту.

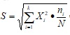
4. Обчислюємо емпіричні характеристики розсіювання:  - середній арифметичний розмір вибірки ; залишкові похибки Хі,  ;  S - емпіричне середньоквадратичне відхилення .

Величина  визначає емпіричний центр групування, а величина S - поле розсіяння дійсних розмірів відносно центра групування.

5. Визначаємо рівень точності (квалітет точності) виготовлення валів: обчислюємо величину поля емпіричного розсіювання ωlim = 6S і прирівнюємо його до величини допуску Td = 6S . Квалітет точності визначаємо

 по ДСТУ 2500-94 (ГОСТ 25346-89) або [8], розділ 1.4, табл.1.2.

6. Будуємо гістограму та емпіричну кривої (полігону) розподілу.

Характер розсіювання значень випадкових величин дійсних розмірів валів вибірки N=100 шт визначається гістограмою, яка складається з прямокутників, або емпіричною кривою розподілу (див. [11] рис. 3.1).

По одній осі відкладаємо інтервали дійсних розмірів валів, а

по другій - величини, пропорційні абсолютним частотам nk появи розміру в кожному інтервалі.

Біля гістограми зображають поле розсіяння ωlim =6S , яке прирівнюють до поля допуску Td , наносять величини , xmax , xmin.




  • Завдання до лаб.2.jpg Завдання до лаб.2.jpg
    20 січня 2025, 20:34 PM
Наразі ви використовуєте гостьовий доступ (Увійти)
Підсумок збереження даних
Завантажте мобільний додаток
На основі Moodle